Who Can Sign Statutory Declaration . Printable Statutory Declaration Form Printable Forms Free Online If this happens, you will need to locate another appropriate. (Insert here the text setting out what you need to declare) and I make this solemn declaration.
Sample Of Statutory Declaration Form from mungfali.com
It is similar to a statement made under oath, but it is not sworn. Similarly, a statutory declaration is also a written statement that a person promises is true and must be witnessed by an authorised person
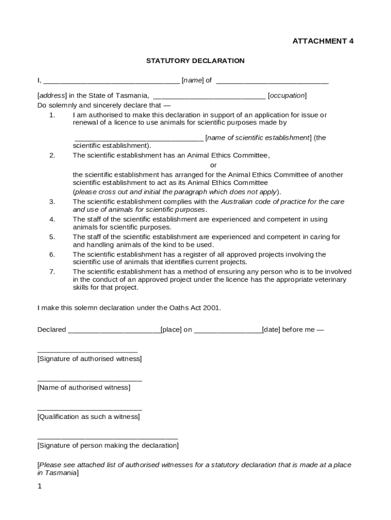
Sample Of Statutory Declaration Form Who can witness a statutory declaration? Under the Act, a statutory declaration can be made before anyone who is authorised by law to administer oaths Statutory declarations are commonly used to allow a person to declare something to be true for the purposes of satisfying some legal requirement or regulation when no other evidence is available. Electronically sign the statutory declaration in the presence of your approved witness.
Source: anttaiqmb.pages.dev Statutory Declaration Doc Template pdfFiller , A statutory declaration is a written statement of facts or circumstances, typically made in a prescribed form and signed by the declarant in the presence of an authorized official, such as a commissioner for oaths, notary public, or justice of the peace Although (unlike an affidavit) a statutory declaration is not made by an oath or affirmation, a false statement.
Source: bemzenaho.pages.dev Statutory Declarations What You Need To Know [2025] , Although the Statutory Declarations Act 1835 does not specifically state that a statutory declaration has to be signed by the declarant or the commissioner, the requirement to sign a statutory declaration can be derived from a number of other sources. Who can witness a statutory declaration? Under the Act, a statutory declaration can be made before anyone who is authorised.
Source: aficanxyw.pages.dev Printable Statutory Declaration Form Printable Forms Free Online , In case the statutory declaration is to be presented abroad, and in a civil law country, it is recommended to sign the statutory declaration before a notary public. Although the Statutory Declarations Act 1835 does not specifically state that a statutory declaration has to be signed by the declarant or the commissioner, the requirement to sign a statutory declaration can.
Source: techngoqix.pages.dev Statutory Declaration Template , Who can witness a statutory declaration? Under the Act, a statutory declaration can be made before anyone who is authorised by law to administer oaths Similarly, a statutory declaration is also a written statement that a person promises is true and must be witnessed by an authorised person
Source: randlessjb.pages.dev Understanding statutory declarations and how we can assist you. YouTube , Although the Statutory Declarations Act 1835 does not specifically state that a statutory declaration has to be signed by the declarant or the commissioner, the requirement to sign a statutory declaration can be derived from a number of other sources. A statutory declaration is a written statement of facts or circumstances, typically made in a prescribed form and signed by.
Source: mpaclubawx.pages.dev Declaration Fill Out and Sign Printable , All statutory declarations must contain the following wording Anyone can sign a statutory declaration as long as they are 18 or over and can.
Source: kubesecmcz.pages.dev Statutory Declaration Doc Template pdfFiller , A statutory declaration is a legal document that is governed by the Statutory Declarations Act 1835 A statutory declaration is a written statement of facts or circumstances, typically made in a prescribed form and signed by the declarant in the presence of an authorized official, such as a commissioner for oaths, notary public, or justice of the peace
Source: indextahkx.pages.dev statutorydeclaration (1) Colmed Group Doc Template pdfFiller , "I (name)of (address) do solemnly and sincerely declare, that/as follows. Although (unlike an affidavit) a statutory declaration is not made by an oath or affirmation, a false statement in a statutory declaration is a criminal offence and may result in a fine or imprisonment.
Source: trgiapdtx.pages.dev Fillable Online Statutory Declaration Form. Statutory Declaration Form Fax Email Print pdfFiller , Anyone can sign a statutory declaration as long as they are 18 or over and can. This guide will equip you with everything you need to know about statutory declarations, from their purpose and uses to how to create and get them witnessed.
Source: searchgoalw.pages.dev How To Write A Statutory Declaration Example Printable Form, Templates and Letter , (Insert here the text setting out what you need to declare) and I make this solemn declaration. Is it a requirement that statutory declarations must be signed by both parties? Yes
Source: wlayfcbhn.pages.dev Sample Of Statutory Declaration Form , In many legal and administrative scenarios, a statutory declaration can be the perfect solution Although the Statutory Declarations Act 1835 does not specifically state that a statutory declaration has to be signed by the declarant or the commissioner, the requirement to sign a statutory declaration can be derived from a number of other sources.
Source: hludenscyq.pages.dev Statutory Declaration (Word) Doc Template pdfFiller , You must then sign your statutory declaration in front of your approved witness, this can be done in one of two ways: Sign the statutory declaration in the presence of your approved witness with a pen; or In many legal and administrative scenarios, a statutory declaration can be the perfect solution
Source: ecgwaabwa.pages.dev Alberta Canada Statutory Declaration Fill Out, Sign Online and Download PDF Templateroller , A statutory declaration is a written statement of facts or circumstances, typically made in a prescribed form and signed by the declarant in the presence of an authorized official, such as a commissioner for oaths, notary public, or justice of the peace A statutory declaration is a legal document that is governed by the Statutory Declarations Act 1835
Source: socannhpz.pages.dev Fillable Online Statutory Declaration Template Qld Form Fill Out and Sign Fax Email Print , Anyone can sign a statutory declaration as long as they are 18 or over and can. Who can witness a statutory declaration? Under the Act, a statutory declaration can be made before anyone who is authorised by law to administer oaths
Source: coolpostxcp.pages.dev Sample Of Statutory Declaration Form , Is it a requirement that statutory declarations must be signed by both parties? Yes (Insert here the text setting out what you need to declare) and I make this solemn declaration.
statutorydeclaration (1) Colmed Group Doc Template pdfFiller . Who can witness a statutory declaration? Under the Act, a statutory declaration can be made before anyone who is authorised by law to administer oaths This guide will equip you with everything you need to know about statutory declarations, from their purpose and uses to how to create and get them witnessed.
Statutory Declaration Doc Template pdfFiller . The purpose of a statutory declaration is to provide. All statutory declarations must contain the following wording